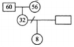
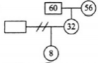
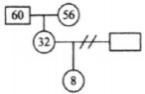
【题干】王女士32岁。与丈夫分居两年,目前带着8岁的女儿与父母一起生活。王女士父亲今年60岁,刚退休;母亲56岁,还在工作。根据上述家庭资料,社会工作者绘制的家庭结构图中,正确的是( )。
- 初级社工《实务》 重点试题:考点 残疾人社会工作的主要内容1 276人浏览
- 初级社工《初级综合》 重点试题:考点 社会环境的特点-多样性3 287人浏览
- 初级社工《初级综合》 重点试题:考点 劳动就业政策法规1 589人浏览
- 初级社工《实务》 重点试题:考点 老年人问题与需求评估1 254人浏览
- 初级社工《实务》 重点试题:考点 优抚安置社会工作服务对象的需要2 261人浏览
- 初级社工《实务》 重点试题:考点 优抚安置社会工作服务对象的特点2 262人浏览
- 初级社工《初级综合》 重点试题:考点 国际社工界认同的专业价值观2 283人浏览
- 初级社工《初级综合》 重点试题:考点 社会环境-同辈群体1 279人浏览