当前位置:
首页
二级建造师
模拟试题
正文
二建《管理》 重点试题:考点38、双代号网络计划基本认知(★★)
来源:学天教育
发布时间:2024-12-03
浏览量:83
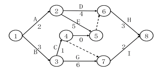
某双代号网络计划如下图所示,存在的不妥之处是( )。
A
有多个起点节点
B
工作表示方法不一致
C
节点编号不连续
D
存在循环回路
查看答案
正确答案:B
参考解析:
工作④→⑤持续时间为零,应为虚工作,用虚箭线表示。
相关试题
更多
二建《法规》 重点试题:考点26、建设工程规划许可(★★★)
247人浏览
二建《管理》 重点试题:考点75、施工现场环境保护措施(★★)
267人浏览
二建《管理》 重点试题:考点24、施工合同变更与竣工验收(★★)
273人浏览
二建《法规》 重点试题:考点75、劳动争议的解决(★★★)
510人浏览
二建《法规》 重点试题:考点59、政府主管部门安全生产监督管理(★★)
457人浏览
二建《法规》 重点试题:考点54、隐患排查、权利和义务及教育培训(★★)
295人浏览
二建《管理》 重点试题:考点46:施工质量统计分析方法(★★)
269人浏览
二建《水利》 重点试题:考点67:合同文件的构成与发包人义务(★★★)
248人浏览
大家都在看
热点资讯
模拟试题
题库
进入题库
每日一练
每天5道题
章节练习
章节专项突破
历年真题
真题实战演练
模拟试题
全真模拟练习
免费刷题
报考指南