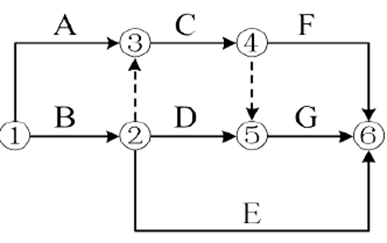
某双代号网络图如下图所示,下列说法正确的是( )。
C工作需要AB工作都完成了才可以开始,D工作只需要B工作完成就可以开始,因此A选项说法错误。B的紧后工作共有3个,分别是CDE工作,B选项说法错误。工作F仅需要考虑C工作完成即可开始,D选项说法错误。
每天5道题
章节专项突破
真题实战演练
全真模拟练习