当前位置:
首页
二级建造师
模拟试题
正文
二建《管理》 重点试题:考点36:双代号网络计划基本认知(★★)
来源:学天教育
发布时间:2026-01-13
浏览量:166
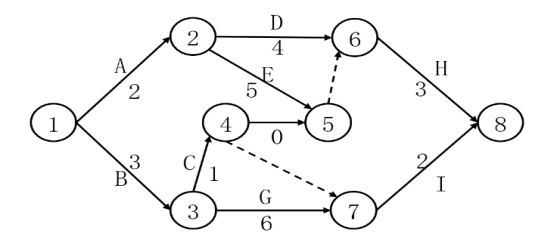
某双代号网络计划如下图所示,存在的不妥之处是( )。
A
有多个起点节点
B
工作表示方法不一致
C
节点编号不连续
D
存在循环回路
查看答案
正确答案:B
参考解析:
工作④→⑤持续时间为零,应为虚工作,用虚箭线表示。
相关试题
更多
二建《公路》 重点试题:考点74:公路工程工程量清单
400人浏览
二建《法规》 重点试题:考点59、政府主管部门安全生产监督管理(★★)
417人浏览
二建《建筑》 重点试题:考点61:流水施工方法的应用(异节奏流水施工)(★★★)
635人浏览
二建《法规》 重点试题:考点75、劳动争议的解决(★★★)
483人浏览
二建《机电》 重点试题:考点49:工业管道之管道敷设及连接(上)(★★★)
398人浏览
二建《机电》 重点试题:考点47、工业机械设备试运行(★★)
345人浏览
二建《公路》 重点试题:考点72:施工项目管理机构+施工组织设计
341人浏览
二建《公路》 重点试题:考点9:软土地区路基施工-垫层、浅层处理和竖向排水体
377人浏览
大家都在看
热点资讯
核心考点
模拟试题
题库
进入题库
每日一练
每天5道题
章节练习
章节专项突破
历年真题
真题实战演练
模拟试题
全真模拟练习
免费刷题
报考指南