当前位置:
首页
二级建造师
模拟试题
正文
二建《管理》 重点试题:考点40:单代号网络计划(★)
来源:学天教育
发布时间:2026-02-05
浏览量:103
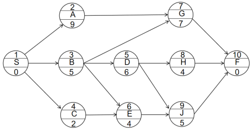
某工程单代号网络计划如下图所示,图中节点下方数字为相应工作的持续时间。下列工作中属于关键工作的( )。
A
工作A
B
工作B
C
工作C
D
工作D
E
工作E
查看答案
正确答案:A、B、D
参考解析:
单代号网络计划中,工期最长的为关键线路,本题中①②⑦⑩、①③⑤⑨⑩两条为关键线路,因此关键工作有A、B、D、G、J。
相关试题
更多
二建《法规》 重点试题:考点59、政府主管部门安全生产监督管理(★★)
353人浏览
二建《机电》 重点试题:考点49:工业管道之管道敷设及连接(上)(★★★)
381人浏览
二建《法规》 重点试题:考点75、劳动争议的解决(★★★)
415人浏览
二建《建筑》 重点试题:考点61:流水施工方法的应用(异节奏流水施工)(★★★)
562人浏览
二建《机电》 重点试题:考点47、工业机械设备试运行(★★)
321人浏览
二建《公路》 重点试题:考点9:软土地区路基施工-垫层、浅层处理和竖向排水体
346人浏览
二建《公路》 重点试题:考点72:施工项目管理机构+施工组织设计
305人浏览
二建《公路》 重点试题:考点74:公路工程工程量清单
375人浏览
大家都在看
热点资讯
核心考点
模拟试题
题库
进入题库
每日一练
每天5道题
章节练习
章节专项突破
历年真题
真题实战演练
模拟试题
全真模拟练习
免费刷题
报考指南