当前位置:
首页
二级建造师
模拟试题
正文
二建《管理》 重点试题:考点40:单代号网络计划(★)
来源:学天教育
发布时间:2026-03-16
浏览量:162
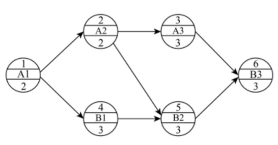
某单代号网络计划如下图(时间单位:天),时间参数计算正确的有( )。
A
计算工期是11天
B
工作A2的总时差是1天
C
工作A2的自由时差是1天
D
工作A2和B2之间的间隔时间是1天
E
工作A3的最迟完成时间是第8天
查看答案
正确答案:A、B、D、E
参考解析:
本题考查3.3工程网络计划技术。经过计算,A2的自由时差是0天,C选项错误。
相关试题
更多
二建《法规》 重点试题:考点75、劳动争议的解决(★★★)
518人浏览
二建《法规》 重点试题:考点59、政府主管部门安全生产监督管理(★★)
469人浏览
二建《管理》 重点试题:考点75、施工现场环境保护措施(★★)
278人浏览
二建《管理》 重点试题:考点46:施工质量统计分析方法(★★)
272人浏览
二建《公路》 重点试题:考点10:软土地区路基施工-粒料桩、加固土桩
257人浏览
二建《法规》 重点试题:考点54、隐患排查、权利和义务及教育培训(★★)
315人浏览
二建《管理》 重点试题:考点24、施工合同变更与竣工验收(★★)
284人浏览
二建《管理》 重点试题:考点11、施工组织设计的内容与编制(★★★)
252人浏览
大家都在看
热点资讯
模拟试题
题库
进入题库
每日一练
每天5道题
章节练习
章节专项突破
历年真题
真题实战演练
模拟试题
全真模拟练习
免费刷题
报考指南