二建《管理》 重点试题:考点38:网络计划时间参数计算(★★★)
来源:学天教育 发布时间:2026-03-17 浏览量:94
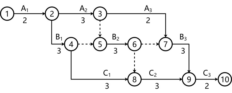
某分部工程双代号网络计划如图(单位:天)。若计划工期等于计算工期,关于工作时间参数的说法,正确的是( )。

- A 工作A2的自由时差是1天
- B 工作B2的最迟完成时间第8天
- C 工作C2的总时差是1天
- D 工作B3的最早开始时间是第7天
正确答案:B 参考解析: 本题考查3.3工程网络计划技术。A选项,工作A2的自由时差是0天。C选项,工作C2的总时差是0天。D选项,工作B3的最早开始时间是第8天。