当前位置:
首页
一级建造师
模拟试题
正文
一建《管理》 重点试题:工程网络计划技术
来源:学天教育
发布时间:2024-08-23
浏览量:238
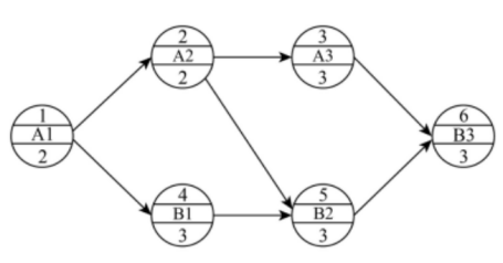
某单代号网络计划如下图(时间单位:天),时间参数计算正确的有( )。
A
计算工期是11天
B
工作A2的总时差是1天
C
工作A2的自由时差是1天
D
工作A2和B2之间的间隔时间是1天
E
工作A3的最迟完成时间是第8天
查看答案
正确答案:A、B、D、E
参考解析:
经过计算,A2的自由时差是0天,C选项错误。
相关试题
更多
一建《市政》 重点试题:考点63:隧道掘进爆破、机械开挖、出渣、支护与衬砌
259人浏览
一建《市政》 重点试题:考点14:桥梁基本组成-上部结构
287人浏览
一建《市政》 重点试题:考点57:隔水帷幕施工技术、回灌施工技术、监测
256人浏览
一建《市政》 重点试题:考点63:隧道掘进爆破、机械开挖、出渣、支护与衬砌
303人浏览
一建《市政》 重点试题:考点35:钢筋(管)混凝土拱桥施工技术
245人浏览
一建《法规》 重点试题:考点42:合同成立与生效(★)
231人浏览
一建《法规》 重点试题:考点16:其他相关税收(二)(★★)
280人浏览
一建《公路》 重点试题:考点36:常用模板、支架和拱架设计与施工-支架识图及验算
257人浏览
大家都在看
热点资讯
模拟试题
题库
进入题库
每日一练
每天5道题
章节练习
章节专项突破
历年真题
真题实战演练
模拟试题
全真模拟练习
免费刷题
报考指南