一建《管理》 重点试题:考点42:双代号网络计划基本认知(★★)
来源:学天教育 发布时间:2025-07-24 浏览量:95
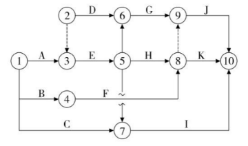
下列双代号网络图中,存在的绘图错误有( )。

- A 存在多个起点节点
- B 箭线交叉的方式错误
- C 存在相同节点编号的工作
- D 存在没有箭尾节点的箭线
- E 存在多余的虚工作
正确答案:A、E 参考解析: 图中存在①和②两个起点节点,所以A选项正确。⑤→⑦、④→⑧工作交叉方法为断线法,本教材没有涉及,但是实际中确实存在这种方法,考试时不建议选B。图中没有相同节点编号的工作,C选项错误。图中不存在没有箭尾节点的箭线,D选项错误。②→③是多余的虚工作,E选项正确。