当前位置:
首页
一级造价工程师
模拟试题
正文
一造《造价管理》 重点试题:网络图绘制
来源:学天教育
发布时间:2025-09-18
浏览量:169
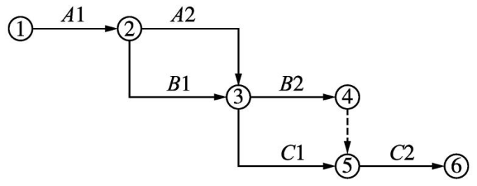
某工程双代号网络图如图所示,其存在的错误是( )。
A
节点编号有误
B
存在多余节点
C
有多个终点节点
D
工作代号相同
查看答案
正确答案:D
参考解析:
【解题思路】工作A2和工作Bl代号均为②-③,应增加虚工作加以区分,故选D。
相关试题
更多
一造《工程计价》 重点试题:2025模考卷2
251人浏览
一造《造价管理》 重点试题:工程造价及计价特征
220人浏览
一造《工程计价》 重点试题:2025强化阶段测试卷
245人浏览
一造《造价管理》 重点试题:设计方案评价与优化
223人浏览
一造《工程计价》 重点试题:2025模考卷一
249人浏览
一造《安装计量》 重点试题:三、安全防范自动化系统
217人浏览
一造《工程计价》 重点试题:2025模考卷一
218人浏览
一造《造价管理》 重点试题:招标投标法实施条例
218人浏览
大家都在看
热点资讯
模拟试题
题库
进入题库
每日一练
每天5道题
章节练习
章节专项突破
历年真题
真题实战演练
模拟试题
全真模拟练习
免费刷题
报考指南