当前位置:
首页
中级经济师
模拟试题
正文
中经《房产》 重点试题:shiwei
来源:学天教育
发布时间:2025-12-03
浏览量:131
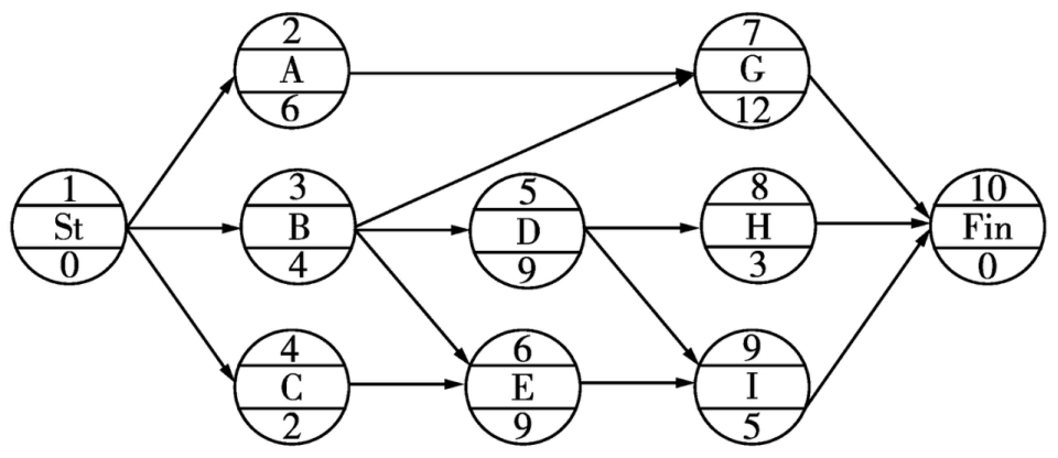
某工程单代号网络计划图如下所示(节点下方数字为工作持续时间,单位:天),关于该工程网络计划的说法,正确的有( )。
A
工作 C 的总时差为 5 天
B
工作 H 的自由时差为 2 天
C
工作 B 与 G 之间的时间间隔为 2 天
D
关键线路有 3 条
E
计算工期为 18 天
查看答案
正确答案:B、C、D、E
参考解析:
[解题思路]
相关试题
更多
中经《工商管理》 重点试题:包装策略
266人浏览
中经《经济基础》 重点试题:卷一
246人浏览
中经《经济基础》 重点试题:多阶段抽样
256人浏览
中经《房产》 重点试题:建设准备、施工安装及生产准备
256人浏览
中经《工商管理》 重点试题:工业品分销渠道的构建
253人浏览
中经《经济基础》 重点试题:卷四
238人浏览
中经《工商管理》 重点试题:2025年工商真题卷(一)
391人浏览
中经《经济基础》 重点试题:会计报表的概念
249人浏览
大家都在看
热点资讯
模拟试题
题库
进入题库
每日一练
每天5道题
章节练习
章节专项突破
历年真题
真题实战演练
模拟试题
全真模拟练习
免费刷题
报考指南